ALの定着性を調べる
1.計算モデル
@実際は木綿繊維のOH基にアルミニウム化合物が配位するのであるが、ここでは単糖の側鎖メチロールのOHに水酸化アルミニウムが反応することをモデルとする。
AL(OH)3 C6O6H12

2.Z-matrixの表示
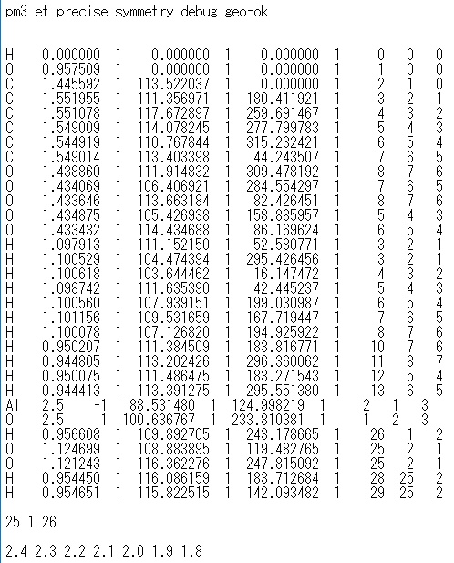
キーワードを「pm3 ef precise symmetry debug
geo-ok」としてALがメチロールのOと反応し、メチロールのHが水酸化アルミニウムのOHの1つと協奏的に反応するとする。
matrixのうち原子25の距離フラッグを「-1」にする。matrixの下行にある「25
1 26」は原子26は原子25と同様な距離(キーワードsymmetricの意味)で最下行のÅの数値に従って変化させて計算することを意味している。Z-matrixを下に示す。このZ-matrixをFOR005に入力し、MOPAC7を起動する。

3.計算結果
項目2の計算結果(ΔHはFOR012を見るとわかる)を下のグラフで示す。 Å
vs ΔH

このグラフから活性化エネルギーは約7kcal/molであることがわかる。
4.まとめ
アルミニウムは千葉市の土中に多く存在し、土のpHが弱酸性であることからアルミニウムがイオンになっているものがあると考えられる(東南アジアを飛行機で旅行すると赤い大地の光景がある。これはアルミニウムの原料であるボーキサイトに由来する)。アルミニウムは弱酸性条件で適度に解離して適度に多量化していることから繊維のような化合物に定着しやすいことが知られている。従って、AL化合物がOH基に反応する活性化エネルギが他化合物がOH基に反応する活性化エネルギより小さければ定着しやすいと言える。残念なことに鉄(Fe)はMOPAC7で計算できないので定着性を比較することはできない。しかし、エチレングリコールと単糖の反応性を調べたが反応しなかった。単純なエチレングリコールと単糖の活性化エネルギが高すぎて反応しないと考えられる。触媒で活性化エネルギを下げる等しなければならないと考える。 土器/陶器を作る時に粘土を使用するが、白い服を着て製作したり、製作時の衣服を白い下着と一緒に洗濯すると、白い衣服が褐色になるのはALやFe自身の定着、もしくはそれらに配位する着色物質が定着するためと考えられる。ALやFeが定着した衣服が加熱されるとそれらが水不溶になるため容易には水に溶けないようになる。土器づくり/陶芸をする時には白い衣服を着ないようにしましょう。
MOPAC7では反応物質が理想的条件での反応性を示すのであって、水溶液のpHが変化している場合の影響を見ることはできない。
5.FOR006
上記の項目3で使用したFOR012の2.1Åの座標データをFOR005にコピーし、
@キーワードを「PM3 EF PRECISE VECTORS BONDS」、
A全てのフラッグ(距離/角度/二面角)を0にしてMOPAC7を起動する。
FOR006に固有ベクトル/結合電子密度等の結果が示される(FOR006の表示方法は 5-2-1) を参照)。例として固有ベクトルのHOMO/LUMOの出力を次に示す。

表を見ればわかるようにALの固有ベクトルにd軌道がない。遷移金属の反応性を見るのにd軌道を見たいと思っていたがMOPAC7ではアルミニウムのd軌道を取り扱ってはおらず残念であった。
トップページに戻る