共重合をMOPACで解析 : 共重合の活性化エネルギーを求める
1. モノマーのΔH
@ ghemicalを起動してラフにモノマー分子を描いた後、ポップアップメニュー>compute>geometry
Opt・・・ でラフに分子構造を作る。この時。α位の炭素原子を番号1にする。
A ポップアップメニュー>file>exportで形式MOPAC
internalでbrowserで適度なフォルダに分子の内部座標を保存する。
B エディタを起動し、1@で作った分子の座標ファイルを呼び出す。Z-matrix形式の内容が示される。キーワードを「pm3
ef precise DEBUG 」とし、コメント行に分子の内容を入力する。
C MOPAC7を起動して計算する。
D FOR012に分子のΔHの計算結果が示されている。
2. ラジカルのΔH
@ 1-@と同様にしてラジカル分子を作成する。但し、β位の炭素原子を番号1にする(ラジカル重合はhead-to-tailで重合することが多く、また、ラジカルの多くはβラジカルが多い(2B参照)ためこのような番号付けを行う。細かい所までやりたい時はhead-to-
head等を試みてください)。
A 1A?Cと同様にしてΔHを計算する。
B αラジカルを同様に計算してβラジカルと比較すると次のようになり、β位にラジカルがある方が安定であることが判る。
| モノマー \ ラジカル位置 | α | β |
| AAA | -27.1 | -78.0 |
| AM | +23.1 | -24.8 |
| MAA | -33.4 | -85.5 |
| MMA | -25.3 | -77.6 |
| St | +87.3 | +36.8 |
3. ダイマーのΔH
@ ここでは簡略なモデルとして、モノマーにα位に水素が付加し、β位にラジカルがあるラジカル分子が攻撃してダイマーが生成するものを考える。
A ghemicalを起動する。最初にモノマーのファイルをopenし、次に同じ画面でそのモノマーのラジカル分子をopenする。ラジカル分子は桃色に表示される。「transXY」を選択して<shift>を押しながらラジカル分子をドローするとラジカル分子だけ移動する。ビニルモイエティを平面で見えるようにしてラジカル分子のラジカル原子がモノマー分子のα位原子が重なるようにラジカル分子を移動させて1Aのやり方で分子の座標ファイルを作る。
B エディタでファイルの内容を見た時にラジカル分子の最初の原子の結合順列が「1
2 3」になってなっていない時は再度ghemicalに戻って1@のやり方でラディカル原子の位置を最適な位置にして座標ファイルを作り直す。
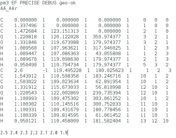
C エディタを起動して分子座標ファイルを呼び出し、キーワードを「pm3
EF PRECISE DEBUG geo-ok」とし、ラジカル分子の最初の原子の原子間距離を「2.6」とし、距離FLを「-1」とし、このZ-matrixの最終行に空白行と「2.5
2.4 2.3 2.2 2.1 2.0 1.9」の行を加えてファイルを保存する。
Z-matrixは 例えば次のようになる。

D MOPACを起動して3Cで作成した内容のZ-matrixをFOR005に保存した後MOPAC7の計算を行い、FOR012を呼びだしてΔHの極大値を求める。
4. 活性化エネルギー
@ 3で得られたダイマーのΔHの極大値から1で得られたモノマーのΔHと2で得られたラジカル分子のΔHを差し引いて活性化エネルギーを計算する。
A 各モノマーについてダイマー化反応の活性化エネルギーを下表に示す。

5. まとめ
ここで得られたΔEは理想的重合条件で計算された値であり、また、モデリングについていくつかの仮定があり、あくまでも目安の値。実際の反応では溶解度とか溶媒効果などが大きく結果を違うものにする。”polymer
handbook”には共重合に関する諸々反応性値が書かれているが反応溶媒が変わると値が大きく変わっていることが判り、実際の反応と分子軌道法の計算値を近づけるためには反応溶媒の影響を考慮しなければならない。 ということで、ここではこれ以上追求しないが、興味あるモノマーがあれば(例えばイタコン酸等特異親水性モノマ、シクロヘキシルアクリル酸等疎水性モノマ)同様な計算をしてここで計算したモノマーの値と大雑把な比較をすることはある程度意味があると考える。
トップページに戻る